Note: Draft. Not for quoting without permission. To appear in International Journal of HCI
Ubiquitous computing on campus: patterns of engagement by university students
Charles Crook and David Barrowcliff
Department of Human Sciences, Loughborough University
Address for correspondance: Department of Human Sciences, Loughborough University, Loughborough, Leicestershire, LE11 3TU
Abstract
It is argued that, for full time undergraduates, ubiquitous computing will continue to involve the private, circumscribed workstation as a significant feature of its design. We report records of how a random sample of campus-resident students make use of a networked and versatile infrastructure of computers. Highly detailed system logs revealed intensive periods of use. The content of this activity was strongly biased towards more playful interests than the curricula agenda of the institution. This did not reflect unfavourable competition between the activity of study and other discrete activities such as computer games. Instead the capacity of the desktop environment to provide strong distracting affordances for interaction and interruption is noted. This sustains a significantly mobile and multi-tasking style of engagement. It is noted that the versatility of ubiquitous computing creates tensions in relation to the activity system of private study. The same characteristics that empower research-led study practices also empower the pursuit of interests in distracting competition with the demands of learning and research. Moreover, study may demand ways of acting that are not consistent with the affordances of ubiquity.
Introduction
Individuals working within institutional contexts can expect their activity to become increasingly orchestrated by information and communication technologies This paper documents actual patterns of using such a notionally empowering technology once it is put in place. The particular institutional setting considered is educational; namely, that of undergraduate students. We report how a random sample of such students make use of computers in their study bedrooms. Their resource includes access to high-speed intranet and internet services highly relevant to these students’ institutional goals. We wish to theorise how actual patterns of technology engagement might be related to design decisions about the infrastructure of computer access. To this end we employ intensive system logging to report how these students – in networked bedrooms – typically use their computers.
The theoretical context against which this concern is set is a family of claims associated with the idea of "ubiquitous computing". This idea has been promoted as the "third wave" of computer use. It defines an era which, it is claimed, we are about to enter. Yet, as a technical concept, "ubiquitous computing" suffers the disadvantage of being a phrase lifted from everyday talk. Anyone might come up with it in conversation to mean something perfectly simple about the pervasiveness of information technology. The networked undergraduates studied here certainly have "lots of computing" but the arrangements they enjoy are not "ubiquitous" in the technical sense that this term has come to acquire. We shall argue below that their status in this respect still makes them interesting to study. However, first, it is necessary to say more about the technical definition of ubiquity.
Enthusiasts for ubiquitous computing typically invoke four features that tie down this concept to a more specialised meaning (e.g., Weiser, 1993). Together they are taken to define a predicted trajectory for people’s future forms of interaction with information technology. First, there is the issue of pervasiveness – computers will simply become more plentiful and more accessible. Second, computational power will extend "outwards"; escaping from the self-contained desktop machine to become re-distributed into a large number of more specialised devices, or tools that are ready-to-hand. Moreover, this will be a significantly networked fragmentation. For, typically, such tools will be in dense communication with each other in order to optimise users’ coordinations with their physical and social environment. Third, the activities supported by this technology will become less obtrusive. The computational basis that supports users’ activities will become increasingly transparent. The actual execution of important tasks will migrate from the centre to the periphery of attention. Fourth, such developments are promised to bring a state of "calm" to the user, as the stress and irritation of routine performances are thereby reduced (Weiser and Brown, 1996).
The users observed in the present study are not resourced with technology in quite this sense. Indeed it would be hard to find any group of people who were yet living in this way. Nevertheless, despite the lack of authentic model systems we must still make progress in understanding what will follow from pursuing the design agenda of ubiquitous computing. Institutional settings such as that studied here provide an interesting point of departure for such research. Compared with the official agenda of ubiquitous computing, they do offer some of the intensity of system access involved. However, they do not offer the mobility and unobtrusiveness associated with that design. On the other hand, the four-feature definition of ubiquity given above need not be as demanding as it appears.
In particular, the feature of unobtrusiveness can exist for the user without their computing being fragmented into specialised tools. Unobtrusiveness should not be denied to the student PC as if, on principle, the desktop computer can not create this experience of use. The activity of computer-supported study need not, of necessity, be "central" to attention (simply because it is located on a single computational device). Interface design – particularly in respect of communication between applications – may readily allow the user’s activity (as something consciously monitored) to migrate to the periphery of their attention.
The notion of a ubiquitous technology affording seamless and unobtrusive activity does not have to be a technology that is literally "invisible" in Norman’s (1998) sense. Yet, it is often discussed that way. For instance, it is striking how third wave scenarios typically invoke people that are relentlessly mobile. So, the future undergraduate in the third wave is portrayed heading for over-crowded cafeterias or disoriented between re-scheduled lecture rooms (Weiser, 1998) – thereby poised for that calming promised by credit-card sized navigational aids. Yet, surely this future will still involve activities that are not mobile but are sensibly focussed on one particular place? Indeed, people may just prefer things that way – whether it is sensible or not. One such situated activity may be the private study of undergraduates. If the residential campus survives current enthusiasm for virtualising universities (Duderstadt, 1999; Tiffen, 1996), then the self-contained study-bedroom may continue to be an appealing site to focus informal study. However, even if education is de-schooled in this sense, the circumscribed space-for-study may continue to be protected in people’s family homes.
Finally, the feature of emotional "calm" seems merely a prediction: a possible psychological consequence of ubiquity, rather than part of an operational definition. It may or may not be a defining feature of new technologies; for it remains uncertain what actually will irritate or comfort us in the third wave era. Tension and calm refer to smoothness or perturbation in the landscape of anticipated events. Everyday disappointments that currently would be regarded as trivial may, in the well-ordered world of ubiquitous computing, become powerfully irritating. Calm may remain just as elusive in the third wave as it is now.
In short, we suggest that there are good reasons to observe the way in which pervasive computing is adopted by residential undergraduates. Even if now there are limitations to the scope of campus networking and to the affordancees of learning tools, the present realisation of ubiquitous computing for study provides a useful point on the developmental trajectory: one that invites documentation. Moreover, the strongly established sedentary nature of study probably demands that "ubiquity" – as it relates to this particular activity – will continue to imply "workstation" whether or not innovations cause fragmentation of computational power in other domains.
Our theoretical perspective for describing such activity is broadly "socio-cultural" (Wertsch, 1998). Such theory stress the mediated nature of human activity: the actions of individuals on the world are everywhere mediated by physical or symbolic tools. The unit of psychological analysis thereby becomes the individual acting with mediational means. In turn, psychological development becomes an issue of the appropriation of such cultural tools. Clearly this perspective resonates with a vision in which people manage their engagement with the world through seamless use of well-concealed computational devices (Weiser and Brown, 1996). However, the socio-cultural perspective does theorise mediation in ways that encourage particular sorts of empirical question.
For example, this analysis challenges the temptation to invoke notions of "amplification" when describing the impact on people of new tools related to cognitive performance. So, it questions the claim that students equipped with certain kinds of technology for supporting study thereby have their capacity for intellectual exploration amplified. As Cole and Griffin (1980) have argued, this metaphor is potentially misleading. In a macabre metaphor of their own, Cole and Griffin consider what might be said about the consequences of equipping a traditional hunting people with modern rifles. Would their skills of killing thereby be "amplified"? Although they may be more successful (more prey are gathered), they are only themselves changed when the tool is to hand. While the output of hunting is in some (rather trivial) sense "amplified", the activity itself is more helpfully described as "re-configured" or "re-mediated". The same logic may apply in the emotional as in the cognitive domain. On analogy, it might be supposed that ubiquitous computing would amplify our state of calm. What it actually does is re-mediate something we do – such as going for lunch or attending lectures. These activities become differently orchestrated. Revealing how tasks get done differently in the light of new mediational means is an important agenda item for socio-cultural approaches.
In what follows we describe basic forms of interaction between undergraduate students and computers that are ubiquitously present in their learning environment. The institutional motive for making the technology so widely accessible is to empower its users as learners. Yet any potential re-mediation needs to be approached as an empirical issue. What actually gets done by users within this new design-for-learning must be discovered by observation. Within this particular ecology of ubiquity (the networked institutional bedroom), we shall document the time invested in computer use, the particular activities that are adopted, and the temporal patterns of use. From this we hope to learn how an investment in ubiquity acts to serve the institutional ambitions – in this case an empowerment of study. An interest in this level of detail suggests that self-report measures by users would be inadequate. Accordingly, we shall monitor system activity through logging software installed to record and label every change of the user’s input focus within the computer desktop environment.
Method
Participants. The study took place at a large UK university comprising a self-contained campus located on the edge of a medium sized town. At the time of recruiting participants, approximately 800 study bedrooms had been networked for 1.5 years. All participants had enjoyed use of this service for at least one full semester. A long list of potential recruits was formed by random selection of second or third (final) year students from university residence lists. Faculty affiliation (Science, Engineering and Social Sciences & Humanities) was noted. Students were then visited in their rooms and invited to take part. Recruitment continued until a sample approximating the faculty distribution of the total student population was obtained. Thus, the target of 36 participants comprised 13 engineering 12 science and 11 social science and humanities students. Each time a further name was to be drawn from the long list of potential recruits, selection was determined by considerations of approximating the gender balance of the university and representing the full range of academic departments within a given faculty. During the study, fatal technical problems arose in relation to two students, leaving a final sample for analysis of 34. Prior to recruitment these students were interviewed individually along with a matched group that did not have networked access. These discussions are to be reported elsewhere but they are drawn upon here to reinforce certain points relating to usage patterns.
Context. On university admission, students were arbitrarily allocated to Halls of Residence. The present group were recruited from one large hall of single occupancy rooms at the centre of the campus. All rooms in the set offered fast access to the internet as well as university intranet services. On this intranet, the university maintained a teaching server that supported delivery of local course materials and a CAL server that delivered specialised computer-assisted learning software. All members of the university have email addresses and are encouraged to make active use of them. Students using the hall service received a package of software to ensure they had Windows 95 on their PCs and a set of standard communications and office tools. A student hall representative was available for local help and advice, in addition to all the normal university computing service support.
Procedure. The purpose of the study was explained to each student, including their rights to withdraw at any point, and their right to examine the data recorded. A contract of agreement was signed by both parties. System monitoring software was installed on each participant’s computer. Background system activity and changes in input focus between application windows was thereby continuously identified and time-stamped, the resulting information being appended to a database file on the user’s hard disc. (This file was not readable or easily edited by the user.) Such recording continued for between 7 and 9 days during a period two-thirds of the way through the second semester.. These log files were collated for analysis, with identity information for individual participants removed. Casual conversations suggest the students quickly lost awareness of the logging exercise, although care was taken to confirm their agreement to release the data at the end of the exercise (which they all did).
Results
In addition to monitoring system and user activity, the software also logged periods when there had been a lack of user input (mouse or keyboard) for five minutes. The resulting database of computer monitoring was filtered with customised software in order to remove background system events and to integrate repeated consecutive activity within the same application (such as successive pages logged during web browser navigation). Finally, periods of 15 minutes or longer that attracted no user activity were marked as "breaks" in the record. We describe here the extent, the content, and the temporal patterns of computer use.
First, in respect of the extent of use, it was clear that these computers attracted long periods of engagement. Figure 1 captures basic information about coarse temporal patterns of use. Averaged across the whole sample for each complete day of participation, it shows the probability that a computer will have some use during any given hour of the day. Data is shown separately for weekdays and for Saturdays and Sundays. Across the period from mid-day until late evening there is, on average, almost a 60% chance that a student will be making use of their study-bedroom computer. Use is suppressed on Saturdays while data for Sundays show the standard weekday pattern starting merely a little later.
Insert Figure 1 about here
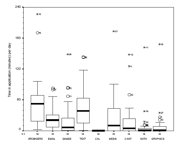
Second, we considered the content of these students’ computer use. This is summarised in Figure 2. These plots describe how use is distributed across the major categories of application, in terms of median usage time and associated ranges. Activity is confined to a relatively small range of programs – although it must be noted that some are highly generic. Thus, the web browser is a particularly versatile tool and, in the present case, supported a wide range of activity through its various helper applications. "Browsers" refers to just such web-based use (including downloading and streaming), "text" refers to use of text processors, "CAL" refers to computer aided learning packages, "media" refers to use of broadcasting or playing of local sound/video files, "chat" refers to synchronous text communication, "data" refers to data manipulation tools, and "graphics" to image processing tools. A further 8% of applications fell into a miscellaneous category covering many intermittently used programs. Caution is needed in reading this pattern of use. For example, actual engagement with chat programs may be longer on account of the time spent in word processing packages preparing material to be dispatched – for this was often observed in the logs. Media time allocation only refers to manipulation of media players, and not the period they may be active in the background. Indeed such background activity was observed to be extremely common.
Insert Figure 2 about here.
Third we considered the finer-grained temporal pattern of use. Several features of this rythmn of computer activity should be noted. The first is that the activity is typically multi-tasked. Most of the time, users have several applications open simultaneously and they are mobile in moving between them. Second and related to this, it is common for sound and video players to be active in the background. 32 of our 34 participants routinely played sound files as they did other things on the desktop. Third, sometimes such media use was not in the background to any other computing activity; that is, the computer was functioning exclusively as a broadcast or playback device. We observed that 50% of the sample at some point in our observations left a media player active for more than 30 minutes (with no other computer activity). For these individuals this happened on average just under once every day. Fourth, close examination of logs suggested a temporal pattern of use that suggests a degree of compulsive engagement.
Such intensive patterns of use can be defined in relation to particular individuals – consistently frequent users. It can also be defined in respect of particular occasions, or "sessions", of technology use – as these might be more occasionally observed, but in a larger number of individuals. In relation to individual consistency, eight students had their computer in use for more than 70% of the time between 13:00 and 24:00 hours across all the days recording occurred. We suggest that this represents an intense and individually distinctive pattern of computer use. In relation to identifying single sessions of use as "compulsive", we defined such sustained engagement as follows. We took periods that contained no pauses of more than 15 minutes and then looked at examples of such sessions that exceeded 5 hours of continuous computer use. Forty-seven percent of our sample contributed at least one long session of this kind within the week of recording.
Finally, the animated nature of this usage must be highlighted. The typical session was striking for the variety of applications that were simultaneously active. On average, users shifted between applications 79 times within the typical long session (as defined above). Yet games represented only 10.9% of the time invested in these sessions. Most activity was concentrated on internet browsers (20.3% of time), word processors (31% of time) and various person-to-person communication tools. These latter are conspicuous as applications that users seemed to drop in and out of repeatedly during long sessions. We considered them further by examining their presence in bouts of computer use more generally.
As explained, the period defining a "break" between sessions was take here as 15 minutes of inactivity. All distinct sessions defined by this boundary were analysed as separate units of computer use. In only 27% of them was a game activated. While in 80% of bouts an email program was used. Entering into synchronous (chat or file exchange) communication is more complicated because not all students made use of this network facility. However, of the 64.3% who did, they made some use of it during 68% of all their computing sessions. Indeed for some users, the resulting chat exchanges could run on and off for hours at a time. Finally, many sessions on the computer involve tinkering with background musical accompaniment: on 44.5% of sessions a media player of some kind was active for at least some part of that session.
Discussion
Our logs of how students in networked study bedrooms make use of their computers can be summarised in respect of the extent of use, its content and its patterning. First, regarding extent, these computers are in use a great deal of the time: in any hour from the early afternoon until the late evening it is more likely than not that such a student will be making use of this technology. This enthusiasm for adopting the computer is reflected in our interviews with these students, where there was unreserved approval of the easy access (although, by contrast, almost unreserved suspicion of the totally electronic and non-residential university)
Second, the content of this use is highly variable and by no means dominated by an agenda of studying. It is difficult to discriminate use that is closely related to the institutional curriculum from use that is more recreational. In the self-report interviews we conducted, the modal estimate of this work-play ratio was 30% - 70%. We made our own estimate of this ratio based upon categorising web sites visited in terms of their likely relevance to the curriculum. This categorising can feel difficult, although the difficulties are felt over the more obscure sites, and less for the high frequency sites that dominate the logs. Our estimate on this basis was a 20% - 80% ratio or work to recreation. Appealing again to our self-report data, it appears that ready computer access does not significantly re-mediate study practices itself. When students were engaged in private study, those with networked room PCs were no more likely to report using the technology for their study than those without this resource. The ready-access students estimated that 41% of their study was computer-mediated, while the control students report 35% (t(38) = 0.78, N.S.). Thus use by those with intensive access is dominated by recreational interests and the private study they do engage in is not significantly extended by this access. Yet, contrary to some popular believe, the recreational dimension involves relatively little playing of traditional computer games (although these may have migrated to game consoles for some students). Recreation is more serviced by web navigation, computer-mediated communication and media broadcast or playback.
Finally, these results allow observation on the patterning of computer use. For they draw attention to how private study – when it does involve the computer - may be re-mediated as a form of organised activity at the "desktop". Statistics on users’ changing input focus imply a highly animated relationship with the typical portfolio of PC applications. Above we hinted at the potential for distraction that arises from the interactive affordances of this technology. Or course, personal living spaces have always offered distraction to students: the point is more that the computer seems a highly potent new media for offering yet new forms of coffee-brewing or pencil-sharpening. By sharing the workspace location, the computer brings competing recreational alternatives much closer to the physical act of study.
In sum, we are identifying a tendency for computing infrastructures designed to empower study to become appropriated into more playful interests. Yet we do not wish simply to declare this - revealing only summaries of coarse-grained time allocations to reinforce the point. It is necessary to consider the possible reasons why this balance of use is not the balance that might be hoped for. Why, in particular, is the profile of activity disappointingly less favourable to the institutional agenda (that is, study rather than leisure uses)?
Our observations regarding the finer-grained temporal organisation of use help clarify this. These observations may explain why the summary patterns of time investment follow from the circumstance of computer access. The detailed temporal logs reveal that these students are not merely hijacking the technology towards singular recreational interests: alternative engagements that simply compete with study as one possible activity among many. Computer games are the usual suspect for temptation of this kind. Yet they are only modestly represented in our logs. To express this through a simple image: we may conjecture that students often settle down at their computers fully intending to exploit them for a session of writing, learning or research. The problem may be less failing to make that decision frequently enough at the outset (instead, invoking some alternative recreational opportunity). Rather the good intention may be upset by the student being too susceptible to powerful alternative pathways - once the working environment of the computer is active. It would seem that any hijacking of the study agenda is more to do with the strongly interactive affordances of those applications that overlap with or that occupy the same working space as the tools needed for studying.
It is an irony that computer empowerment of study and research implicates the very same properties of the medium that we are identifying here as resourcing more playful activity. So, the fluent manoeuvrability between desktop applications that we observe here could quite easily be recruited by the user into their academic studies – where an animated pattern of exploratory research could often be very productive. Yet, traditionally for most of us, embarking on an episode of academic work requires mobilising resources of commitment and self-management. This, in turn, is likely to be supported (or undermined) by the material and social setting we are occupying at the time of contemplating this work. The setting furnished by pervasive technology is rich in interactive opportunities that service the whole range of our interests, not just scholarship. Manipulating the very same tools that bring our "off-task" (and usually more engaging) interests to life is a situation that can disturb our more study-oriented commitments. The final distribution of time investment by the present computer-resourced students may have less to do with shifted priorities for tasks. The computer may not simply be a platform for biasing decisions about competing but singular activities – the game versus the CAL package. It may have more to do with the affordances of distracting opportunities that are thoroughly knitted into the detailed fabric of the activity context (the "desktop"). These distractions are simply embedded in the structure of the workspace.
As stressed earlier, the present computing arrangements do not conform to the contemporary technical definition of ubiquitous computing. But we also noted earlier that no model systems are presently available for useful study. Indeed it may be that the ultimate format for ubiquitous computing in authentic institutional contexts may look more like the example documented here and less like the scenarios typically invoked to capture the ubiquitous idea in popular writing. These often have a rather too generic quality: they are often about people navigating the public recreational spaces of cities – identifying cinema times or locating uncluttered restaurants. Certainly, the institutional world of work also requires us to call taxis, locate documents, or converge on meetings. So the co-ordinating power of new technology has promise in these contexts. However, the example of undergraduate study reminds us that many workplace tasks are realised in arrangements that cast the user in a less mobile role. Indeed, formal study is a classically sedentary activity. The networked campus therefore offers a legitimate representation of more task-defined ubiquity – in this case the task of formal learning and research.
In short, the present seems adequately close to the ubiquity we are concerned to understand. The computer is not only to hand in the student’s self-contained living space, it is also a plentiful resource around other public spaces of the campus and, of course, it will be present in the study bedrooms of peers and friends. Ubiquity is also realised as dense and fast networking within and beyond this infrastructure. Finally, the ubiquitous workstation provides at a single interface a whole portfolio of resources relevant to the demands of study – each in fluent communication with the others. At a single point it furnishes source texts, local course materials, library access, synchronous and asynchronous communications, browsing and downloading tools, computer-supported learning packages, and a wide range of applications for writing, illustrating, transporting or manipulating data. Indeed, a principle innovator of ubiquitous computing implies the continuing focal nature of the personal computer (albeit with wall-size screens) in his own scenario for third wave university study (Weiser, 1998). In contemplating this future, Weiser conjures up the image of students thereby engaged in "late-night dorm brainstorming sessions". Probably the motive behind the present investment in campus networking is very much in terms of cultivating just such enthusiasms for study.
Yet we have seen that this vision is problematic. The rich environment of the ubiquitous desktop creates challenges to the user’s capacity to focus and prioritise activities. In many examples of the computing "third era" this seems to be managed by a convenient harmony between the functions of narrowly specialised devices (navigational aids say) and the user’s ecological predicament – a harmony that serves the immediate and transitory needs of their situation. This might imply that the present model for ubiquity in relation to scholarly study (the fiercely networked computer-to-hand) needs to be somehow decoupled from its relation with the "private study" (as a place). Perhaps the generic workstation needs to be fragmented such as to offer the student that helpfully focussed functionality of more discrete and distributed devices. That might require radical thinking about the relationship between established patterns of activity such as learning or scholarly research and the range of settings in which we expect to engage in these tasks.
We have studied a case of pervasive computing realised in one institutional context. In terms of the official agenda of this setting, we note that there are obstacles to targeted and productive adoption of these resources. The example does not conform to the model of ubiquity that stresses low visibility specialised devices that are highly distributed in the environment. It is possible that an ecology of undergraduate study could be designed that did conform more closely to that vision of ubiquity. If it were designed it might possibly be more effective in focussing activity. However, if that is indeed the way forward, it will be necessary to refashion fairly deeply ingrained practices concerning the physical location of the activity in question - private study. This may be a general message for attempts to incorporate ubiquitous computing into the context of well established work practices.
References
Cole, M. & Griffin, P. (1980) Cultural amplifiers reconsidered. In Olson, D.R. (Ed.), The social foundations of language and thought. New York: Norton.
Crook, C.K. (1994) Computers and the Collaborative Experience of Learning London: Routledge
Crook, C.K. and Light, P. (1999) Information technology and the culture of student learning. In J. Bliss, P. Light and R. Saljo (Eds.) Learning sites. Oxford: Elsevier Science.
Duderstadt, J.J. (1999) Can colleges and universities survive in the information age? In R. Katz (Ed.) Dancing with the devil. Information technology and the new competition in higher education. San Francisco: Jossey-Bass.
Norman, D. (1998) The invisible computer. Cambridge, Mass.: MIT Press.
Tiffen, J. (1996) The virtual class is coming. Education and Information Technology 1, 143150.
Weiser, M. (1993) Ubiquitous computing. Computer, 26, 71-72.
Weiser, M. (1998) The future of ubiquitous computing on campus. Communications of the ACM, 41, 41-42.
Weiser, M. and Brown, J.S. (1996) Designing Calm Technology. PowerGrid Journal, 1.01, http://www8.electriciti.com/1.01/
Wenger E. (1998) Communities of practice. Cambridge: Cambridge University Press.
Wertsch, J.V. (1998) Mind as action. Oxford: Oxford University Press
Figure captions
Figure 1: Average probability that a student’s study-bedroom computer will be used for some part of each hour of a weekday, Saturday and Sunday.
Figure 2. Median time per day in a range of applications commonly used by students in their study bedrooms.

